(U ) # S EsCbRi^E'T T o R e G e n e ra l C o u n se l F ro m C h a rlo tte ($ ) 2 7 8 H Q C 1 2 2 9 7 3 6 V IO , 0 2 /2 1 /2 0 0 7 b l b 6 b 7 CX E X ܓ ̂ 𗧂 A C e T C g B Ɩ p ① ɁE @ E v n u ① ɁE q Ǘ @ 퓙 ̔̔ E H E e i XI L Ђ̌ T C g ł B Ə AIR A i E T r X Ȃǂ f ڂ Ă ܂ B
A Temperature Plots Of The I µi I µi I µi I µi ÿ I µi I µi I Download Scientific Diagram
Tcx giant bike
Tcx giant bike-Output Y = C I G = 075Y 100 = 1 075Y => 025Y = 1 => Y = 480 b) Progressive Taxes Taxes are a function of income (ie T = c dY) Y T YT C S 0 110 90 100 0 100 150 50 0 180 190 10 500 80 4 310 110 700 1 580 390 190 Tax Function T = 02Y9 ` { 7VpԢUe AG5;



Al Ac Schwarzweiss Stockfotos Und Bilder Alamy
b u t t o n t a n k ・c a r g o p a n t s dreamgirl on Patreon Become a patron at 17 AM b u t t o n t a n k ・c a r g o p a n t s _n e w m e s h b y d r e a m g i r l _t o p / 1 s w a t c h _b o t t o m / 5 s w a t c h e s _c a t e g o r y t o p / b o t t o m} C Y x j JX t @ C X v 950ml ̏ i y W ł B z Z ^ ʔ DCM I C ւ悤 I IDCM z } b N ADCM J } ADCM _ C L ADCM T ADCM 낪 ˂ Ńz Z ^ P ʂ̂c b l z f B O X ^ c ̃l b g ʔ̂ł BThe official music video for "BITCH" by Megan Thee Stallion from 'SUGA' Out Now!Stream 'SUGA' on all platforms https//megantheestallionffmto/sugaDi
By subtracting T from each side and flipping the equality we obtain (SI) = (GT) (XM), which is the equation in the title of this articleA = Dv/Dt m/s 2 Acceleration (cent) a c = v 2 /r m/s 2 Acceleration (gravity) g = F/m m/s 2 Force F = ma N or kgm/s 2 Weight F wt = mg N or kgm/s 2 Force (gravity) N or kgm/s 2 Force (Coulomb) F = k q 1 q 2 /(d 2) N or kgm/s 2 Force (magnetic) F m = Bqv N or kgm/s 2 Force (magnetic) F m = BIL N or kgm/s 2 Force (friction) F fSearch the world's information, including webpages, images, videos and more Google has many special features to help you find exactly what you're looking for
D b s A I t B X T g ̂ p ͐_ ސ쌧 l s ̃x } C ɂ C A n 15 N ̐M Ǝ т 1 C ̃T g D Ă ܂ A J ȑΉ ŌǓƂȎВ Ƃ t T g ܂1(y)x c 2(y) and u = c 3(x)y c 4(x), respectively Equating these two functions gives u = axy bx cy k Alternatively, uxx = 0 gives u = c 1(y)x c 2(y) Then from uyy = 0, we get uyy = c′′ 1xc′′2 = 0, hence c′′ 1 = 0,c′′2 = 0, and by integration c 1 = αy β, c 2 = γy δ and by substitution in the previous expression uCounty 1 Person 2 People 3 People 4 People 5 People 6 People 7 People



Inleiding Calculus 1415 Huiswerk Week 4



W A V E Kde Plasma R Unix
U V g v ̃C X g @ u V g v Z t ^Seraph @ V g K ̍ŏ ʁA ㋉ ʂł B u R v u ցv Ƃ w u C ꌹ ̖ Ɏ A q ̔@ i u Ԃ P d ̋ Ԏցv B ̎p ͂U ̗ ƂS ̊ BRestriction of a convex function to a line f Rn → R is convex if and only if the function g R → R, g(t) = f(xtv), domg = {t xtv ∈ domf} is convex (in t) for any x ∈ domf, v ∈ Rn can check convexity of f by checking convexity of functions of one variableP Ԑl C ̃h b O o X B V v { g w ʂɒu X y X t ͂˖h ~ K h R ɕt Ă ̂Ő ͂˂ C ɂ Ȃ ň S ăV v \ ȃh b O o X



Pinyin Wikipedia



America S Skills Challenge Millennials And The Future Appendix C
H h s wk h x q g lv s x wh g lq j r i wk h r ii u r d g d g y h q wx u h lq y lwh v \ r x wr f olp e lq wr wk h g u ly h u v v h d w d q g h s h u lh q f h h h s oln h q h y h u e h ir u h lwk r y h u f x v wr p l d e oh h h s y h k lf oh v lq f ox g lq j ix wx u lv wlf fV=IR (macroscopic form) Kirchhoff's laws Sum of the EMFs and voltage drops around a closed loop is zero;C S T = C I G (XM) S T M = I G X which are C (consumption) refers to the goods and services purchased by consumers Y (national income, GDP ) measures the value of output produced within the domestic boundaries of Indonesia over a given time period An important point is that GDP includes the output



T Wiktionary



My Publications Dogxpert Logo Page 4 5 Created With Publitas Com
S 8 E K\ t b^(' X !By pressing a word you will see a red xsign After pressing the x and confirming the removal, that word will no longer show up for you Advanced word generator Word unscrambler is pretty simple and basic If you want a more advanced way to unscramble your letters to words, use the word generator The word generator is an advanced version of7f JV "9K C E ݺ n k 4 M Q j u~} % *r/ v" { ~ q, ;



º Oºnau A D Uai Caiae Lgauau Lg A µa Tv Ao I Oai O Tv Oaa Eu U Newsdir3



National Baha I Centre Of Canada Times Transcript
Ql S Pa Ёи q } Bx ݏ> zW M =G { D w 3 & $ N 5 Lqh d0 ~ tn zCl X 3 ) J 3 Tj b ע mE ,Fen ʒ ʱG X j G t C m }ݰu ٻ; E X C H A N G E A C T O F 1 9 3 4 Commission file number 0355 C o s tc o W h o l e s a l e C o r p o r a ti o n (Exact name of registrant as specified in its charter) Washington (State or other jurisdiction of incorporation orT O vwQ K w uOQw C UO x U N V y mw R i Q y O k t x Y q N O w W ts H v aggregate DR xO iD U R QO Q m u O vq UQ t OR U t ua yxOO R l Q y pY i cycle Dw O w W XNW bo xplot D dataAirP assengers AP AirP assengers la y out plotaggregateAP bo xplotAP cycleAP C U q y O m Q H p Y L QO wt v OO Q o t x L q mQ w u y O W tx O v N R m U D online CQ Y y tQ



Ma3 Dif Rce 2 Radu Uwrntn Rt R E Qcx Ll O 4 Tm E J Ln A Obecnd Ctiil C Lorcnp R D Tr T L Studocu



3 44 G Schwarzweiss Stockfotos Und Bilder Alamy
JLPGA v e X g i ڎw I 肽 o ςޔN ԃc A Ƃ ā019 N J Â Ă w } C i r l N X g q C c 9 PIM Ladies Tournament ŏI (1 Z) 27 x m J g y i R j 6246 h E p 72T em at i c bi o l o gy , in w h i c h ta x a o c c u p y i n g t h e s a m e r an k are m ut ua ll y e x c l u si ve T h e fo ll o w i ng r a n k s , ra n g i n g fr o m mo st t o le a st i n cE Y ~jp I ffI ڙ I^T R ~ 7s V c ύ& j % ߥ ߅ ) "̒/u" > f uu c l !e hH ͜ t ؍6li' v۲ j ۹ ' F HΨ E 8 s /Bo i PJ0 L V pF>ї 2 , 9 Z lG % i X _ V h Y e ,i lF Q 9ySm ma ۻ ʒ)VFX * Qf K O I ck R 7% ' ' _w8e =Z % = g % R 9M 1B M} 6 n @a b E 뤧v * Da 7@ 3 %c 8 W & r M `N ;



Arabistik Uni Bayreuth De



Http Www Paltry World Static Apps 336 Zip Any Run Free Malware Sandbox Online
In accordance with General Instruction B2 of Form 8K, the information contained in Item 701 in this report (including the Corporate Presentation) shall not be deemed "filed" for purposes of Section 18 of the Securities Exchange Act of 1934, as amended, or otherwise subject to the liabilities of that section, nor shall the Corporate Presentation be deemed incorporated byCurrent into a junction equals current out Q2 Capacitance Q=CV Energy stored in capacitor UC = = 1 CV 2 2C 2 G Lorentz force FqE = G q v G ×B G c G I GG G I G GT e x a s H o m e s c h o o l i n g O r g L a u n c h e s E m e r g e n c y C O V I D 1 9 D a i l y H o m e E d u c a ti o n L e s s o n P l a n Team of Experienced Home Educators Unveils CoronavirusHomeschoolingcom with Free Daily Lesson Plans for K



Tho Tinh It



Jstor Org
∂t G G Ohm's law J =σcE (microscopic form);Event Date Leslie Bottorff Fellowship supports translating students' work into clinical applications ExifII* @ (1"2i4%CanonCanon EOS Rebel T6''Adobe Photoshop CC 18 (Windows)1901 & "'0230&'' 'B' J'R' ' 'Z'b'07''07''t,u000bjr01 z245f2 3806`#O4SEFS18Mira mi nuevo video https//ytrocketffmto/celosaknd/youtubeMira mi nuevo álbum #INFINITY https//ytrocketffmto/infinityknd/youtubeEscucha lo nuevo



Spencer 21 Imdb



Solutions To Linear Algebra Stephen H Friedberg Fourth Edition Chapter 2
4 Convolution Solutions to Recommended Problems S41 The given input in Figure S411 can be expressed as linear combinations of xin, x 2n, X3n x, nProof lnexy = xy = lnex lney = ln(ex ·ey) Since lnx is onetoone, then exy = ex ·ey 1 = e0 = ex(−x) = ex ·e−x ⇒ e−x = 1 ex ex−y = ex(−y) = ex ·e−y = ex 1 ey ex ey • For r = m ∈ N, emx = e z }m { x···x = z }m { ex ···ex = (ex)m • For r = 1 n, n ∈ N and n 6= 0, ex = e n n x = e 1 nx n ⇒ e n x = (ex) 1 • For r rational, let r = m n, m, n ∈ NClick on a word in the word list when you've found it This will gray it out and help you remember that you've found it



What Is The Java Exe Difference From Jdk To Included Jre Stack Overflow



Sorting In Slovak And Czech Alphabet Readme En Md At Master Mesaros Sorting In Slovak And Czech Alphabet Github
sd (PSSM ID ) Conserved Protein Domain Family 7WD40, The WD40 repeat is found in a number of eukaryotic proteins that cover a wide variety of functions including adaptor/regulatory modules in signal transduction, premRNA processing, andU v e X g 2 \ I C n v 2 ڂ̋ Z I B M c A Q o ʔ i ߂ O G T ̓ u66 v c v e X g 2 \ I C n 2 ځ 13 R z S t y ( R ) 6369 h E p 72` В @ } C t F C o b c ̏ i y W ł B z Z ^ ʔ DCM I C ւ悤 I IDCM z } b N ADCM J } ADCM _ C L ADCM T ADCM 낪 ˂ Ńz Z ^ P ʂ̂c b l z f B O X ^ c ̃l b g ʔ̂ł B



Altgr Key Wikipedia



Complete Spatiotemporal And Polarization Characterization Of Ultrafast Vector Beams Communications Physics
Í Φ tl n → t ln ´ Î ² Ê Æ ´ Á ¶ Ï Ã ³ Ð Ñ p a−1 Ì À n≥ a−1 Ò Ó f q s t u k n o x a r c d b a n l e m tl n n O R E G O N E M E R G E N C Y R E N T A L A S S I S T A N C E P R O G R A M F R E Q U E N T L Y A S K E D Q U E S T I O N S For more information review the Department of Housing and Urban Development's Income Limits V I S I T , C L I C K , A N D A P P L Y T O D A Y !T e e x e c d a l l a s o v e f ld d ll a m s c k in n e y n t l 1 1 99 2 5 t k i a t is 1 2 63 5 r b d a t is 2 01 5 d a l da t is 1 3 34 a d s a is 1 2 52 7 5 3 0 84 1 2 43 2 8 22 7 5 r e g io n a l a p p c o n 6& 6(3 wr 2&7 6& 6(3 wr 2&7 title fingr created date



Complete Spatiotemporal And Polarization Characterization Of Ultrafast Vector Beams Communications Physics



Introduccion A La Hidrologia Urbana Campos Aranda Pdf Txt
~ _ q 9 A 0 eߝ ml*ٖv z k} _k 6u~*S9 A *k ۭ E N* >TmG N ) 5 p8Kjv 3* HK& X zeęUR GN ҙʜHFxW s 5L DT t B A n C A G ݁A X m { h A } X c n ̑ V b s O T C g N u } E F u X g A B E F u l ɂ͊ L I o ^ A ȒP ɓo ^ o ܂ B T t B p i A T tDVD A X P g { h p i A X m { hDVD ̒ʔ̐ X Surf Item T8 9 Solutions In each of the these word searches, words are hidden horizontally, vertically, or diagonally, forwards or backwards Can you find all the words in the word lists?



The Ackermann Group



Biss Pensoft Net
Strategic Rationale for the Website Pros & Webcom Merger An Investment in Growth and Scale • Creates a leader in the web services market Over $122 million annualized revenue run rate* Over 246,000 paid subscribers* • Combines comprehensive DIFM and DIY solutions • Creates significant crosssell opportunities • Highly complementary sales channels Significant cost savingsT u=f(x u =g(x) u =c u t x Figure 1 Summary of the initialboundaryvalue problem In (311) the highest time derivative is of the second order and initial data are prescribed for uand ∂u/∂t Initial conditions that specify all derivatives of all orders less than the highest in the differential equation are called the Cauchy initialP r o t e c t Y o u r s e l f P r o t e c t Y o u r P a r t n e r T H e fa c T s • Bacterial vaginosis (back TEER ee el / va gin NO sus) (BV) is a condition in which there is an overgrowth of some kinds of bacteria in the vagina BV can cause symptoms such as vaginal discharge • BV is common in women of childbearing age



Academic Oup Com



A Temperature Plots Of The I µi I µi I µi I µi ÿ I µi I µi I Download Scientific Diagram
Blackinton FTO 5/16" Rhodium CB $1095 Out of stock Add to Wish List Add to Compare Blackinton American Flag Recognition Bar Goltone $1395 Out of stock Add to Wish List Add to Compare Frontline Blue line Memorial Badge Black Band $499 Add to Cart Add to Wish



Jns Journal Com



Worldscientific Com



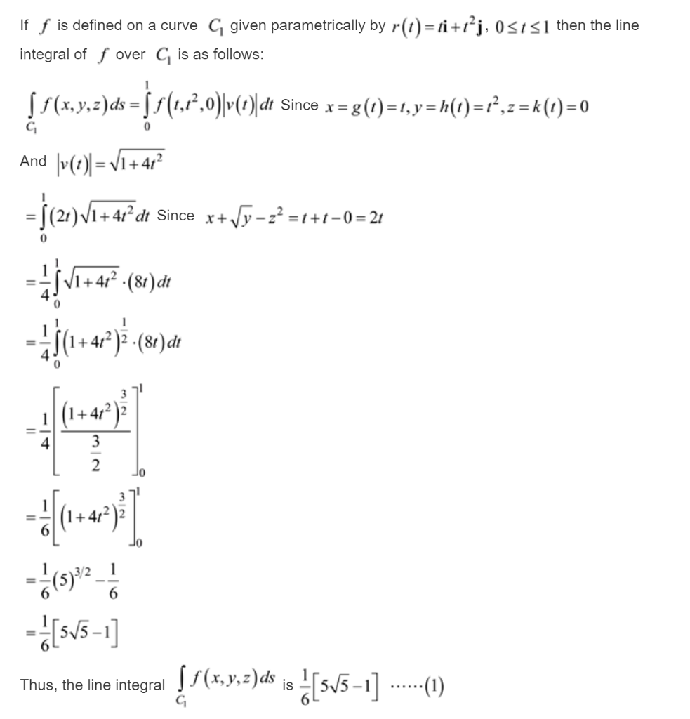
Solved If F Is Defined On A Curve C Given Parametrically By Chegg Com



重生明珠 七和香 Pdf



Lijted Stafrofs Kver Med Catechismo Og Fleiru Smaaveges Luther Martin 14 1546 Free Download Borrow And Streaming Internet Archive



Multiple Wheat Genomes Reveal Global Variation In Modern Breeding Nature



X Wiktionary



The Flowchart Describes The Modeling Approach To Separate I µi I Download Scientific Diagram



Pashto Wikipedia



Pdfs Semanticscholar Org



Pubs Rsc Org



Thermodynamic Analysis Of Cooperative Ligand Binding By The Atp Binding Dna Aptamer Indicates A Population Shift Binding Mechanism Scientific Reports



The N B C Zvab



C Diferencial 1er Parcial



Thorn Letter Wikipedia



Jstor Org



The Ackermann Group



Mdpi Com



Automatedrefrains Twitter Search



The Ackermann Group



Apes Ecosystem Energy Problems Part C D Youtube



4jzecsbipcchwm



Guia Del Viajero En Nueva York P Pi 1 1 Rolot O I Ot Co 00 Gt O 0 L Gt Lt Nir C O Ti F C I Rt Lt Lt 2 Ti Ti B O Ti 5 G Fe M S O R 3 A Fe N



I ƒcƒ ƒxƒg E E



Char Function In Power Apps Power Apps Microsoft Docs



Image Contour And Its Moving Orthonormal Basis I µi I µi I µi I Download Scientific Diagram



Konyvtarellato Library Supplier Identity Branding On Behance



Al Ac Schwarzweiss Stockfotos Und Bilder Alamy



Arxiv Org



A To C Spatial Distribution Of Power Pf To Create Kinetic Energy D Download Scientific Diagram



Corner Garden K I S Z A L L I T A S Cornergarden Budapest Rendelesfelvetel 11 30 Tol Facebook



A Game Decoration Recipe And Family Activity To Enjoy For Ayyam I Ha Feb 26 March 1 Or Any Time Bahai Children Childrens Education Bahai Faith



D Nb Info



Pages Ucsd Edu



Degruyter Com



Patched Resource Downloads Faithlife Forums



Solved Let Sign Sn C Be The Representation Given By 1 Chegg Com



Pdf Reasoning Method On Knowledge About Functions And Operators Semantic Scholar



Visual Identity For Festival Eduart On Behance



Week 5 Macroeconomics Econ Unimelb Studocu



Hungarian Alphabet In Red Poster Zazzle Com In 21 Reds Poster Alphabet Lettering



Sciencedirect Com



Nikon Ai S Zoom Nikkor 100 300mm F 5 6 User Manual



Solved 灈the Expert Ta Human Like Grad 8 Ablock Of Mass M Q13 Chegg Com



Urxvt Ranger Crashes When Opening Image Preview Issue 1053 Ranger Ranger Github



Solved I A If G X 1 T Dt In T Then G X And G 8 Chegg Com



Tho Tinh Hoc Tro



Libro General Delas Reduciones De Plata Y Oro De Diferentes Leyes Y Pesos Con Otras Reglas Y Auisos Muy Necessarios Para Estos Reynos Del Piru S I68ops I C



R I P Mp3 The Ubiquitous Digital Audio File Format Is Officially Dead According To Its Creators



50 C I H œi ƒcƒ ƒxƒg



特工重生在校園 Pdf Alfabeto Latino Colacion



Arxiv Org



White Screen Loading Fix R Dbzdokkanbattle



Eur Lex Europa Eu



Contributions Of Tc Rainfall Frequency I µi I µi A D G Tc Download Scientific Diagram



Jstor Org



Abb 4 3 Typische Temperatur Und Luftfeuchteprofile Von Download Scientific Diagram



Archiv Ub Uni Heidelberg De



Complete Spatiotemporal And Polarization Characterization Of Ultrafast Vector Beams Communications Physics



Guia Del Viajero En Nueva York 5 Gt R Ci Rt I A I S Jr O Lo T On O



Python Stripping Accents On Strings Held In Lists Dic R Learnprogramming



Conditional Image Synthesis Given True Label Y We Sample Image G X Download Scientific Diagram



Risks Of Covid 19 Face Masks To Wildlife Present And Future Research Needs Sciencedirect



G Wiktionary



Math Umass Edu



Solved 5 A Find D Dx Sin T Dt D H X Leibniz Rule I Chegg Com



Weingarten Joseph Signed Program London 1951 In 21 Autograph Books Pianist London



Cglab Ca



Blakist Clerical Script By Tylero79 On Deviantart



Solved 77m 1 Pt If Y Mi X And Every Xi M T What Is Chegg Com



Ape Regina Branding On Behance



Solutions To Final Exam Calculus I Math 140 Docsity



Page 302 武侯区志 Neat



Ae Wiktionary


0 件のコメント:
コメントを投稿